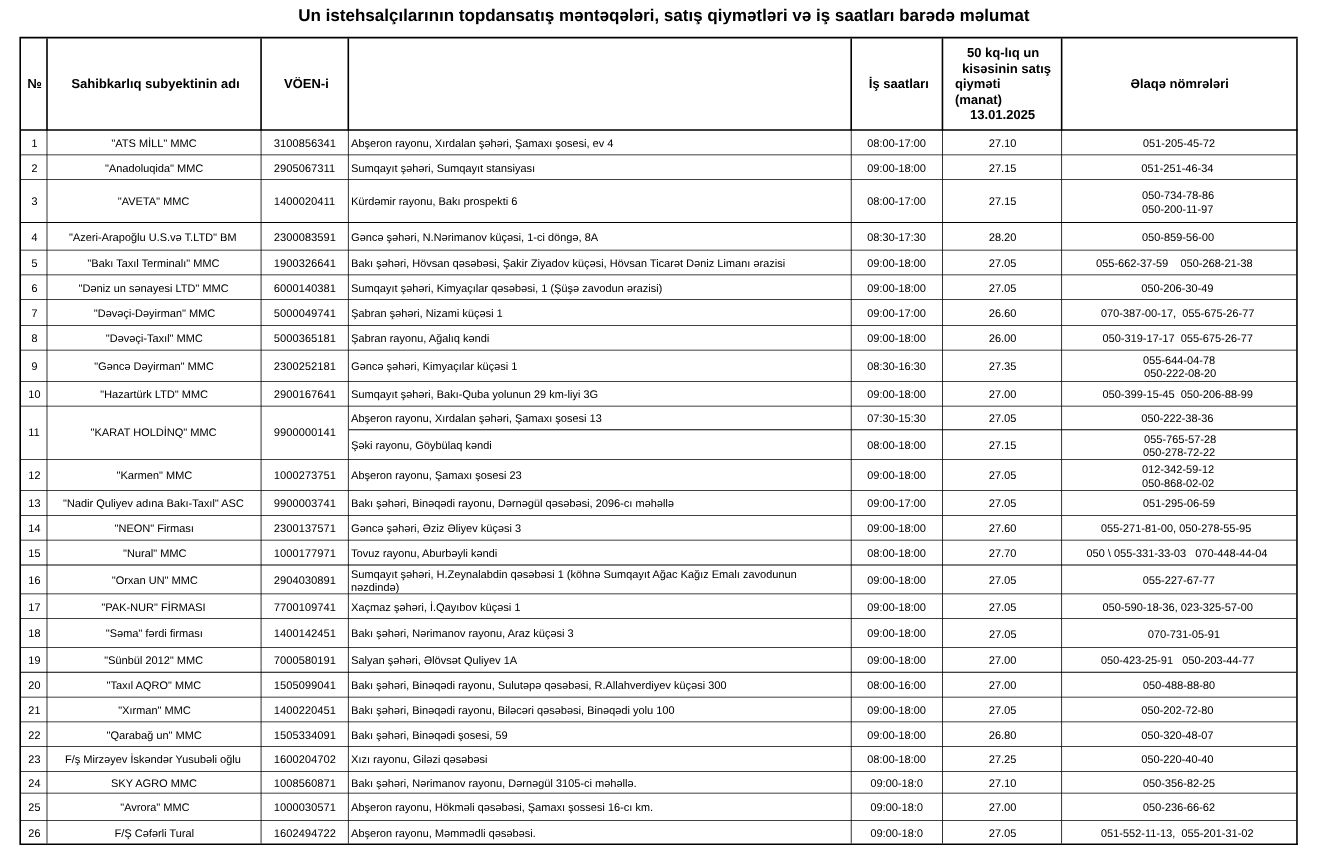
Dövlət Xidməti unun topdansatış qiymətləri barədə məlumat yayıb
Hazırda Azərbaycanda 50 kq-lıq un kisələrinin topdansatış qiymətləri 26-28 manat arasında dəyişir.
İqtisadiyyat Nazirliyi yanında Antiinhisar və İstehlak Bazarlarına Nəzarət Dövlət Xidməti Un istehsalçılarının topdansatış məntəqələri, satış qiymətləri və iş saatları barədə məlumat yayıb.
Qeyd edilib ki, 13 Yanvar 2025-ci il tarixində 50 kq-lıq un kisəsinin satış qiymətləri 26 manat - 28.20 manat civarındadır.
Müştərilərin xəbərləri
SON XƏBƏRLƏR
- 2 həftə sonra
-
6 saat əvvəl
Bu il Azərbaycana 1 milyon ədəddən çox smartfon idxal edilib
- 6 saat əvvəl
-
- 9 saat əvvəl
- 9 saat əvvəl
-
10 saat əvvəl
Suveren yaşıl istiqrazlar üzrə İşçi Qrupun ilk iclası keçirilib
- 10 saat əvvəl
-
10 saat əvvəl
Xarici ölkələrdə Azərbaycan vətəndaşlarına turizmlə bağlı 1,2 milyar dollarlıq xidmətlər göstərilib
-
10 saat əvvəl
Bu il Azərbaycanın xam neftinin qiyməti 16 dollar daha aşağı olub
- 11 saat əvvəl
-
11 saat əvvəl
“Kristal” və İtaliyanın “Zambaiti Parati” brendi əməkdaşlığını genişləndirir - Memorandum imzalandı
-
11 saat əvvəl
Azərbaycanın cari əməliyyatlar hesabının profisiti "əriyib" - 1 milyard dollarlıq azalma
Son Xəbərlər
Azərbaycanda Vakansiyalar - Azvak.az
Bu il Azərbaycana 1 milyon ədəddən çox smartfon idxal edilib
Volkswagen 88 illik tarixində ilk dəfə zavodunu bağlayır
Suveren yaşıl istiqrazlar üzrə İşçi Qrupun ilk iclası keçirilib
Xarici ölkələrdə Azərbaycan vətəndaşlarına turizmlə bağlı 1,2 milyar dollarlıq xidmətlər göstərilib
Bu il Azərbaycanın xam neftinin qiyməti 16 dollar daha aşağı olub
Ən çox oxunanlar
"Hazırda 33 səhm və 30 istiqraz listinqdədir"
“Kristal” və İtaliyanın “Zambaiti Parati” brendi əməkdaşlığını genişləndirir - Memorandum imzalandı
Azərbaycanın cari əməliyyatlar hesabının profisiti "əriyib" - 1 milyard dollarlıq azalma
Dövlət şirkətlərinin büdcə və maliyyə göstəriciləri yeni Qaydalar ilə monitorinq olunacaq
Azərbaycan ilə Maldiv arasında ümumvətəndaş pasport sahibləri viza tələbindən qarşılıqlı azad edilib
Naxçıvan Ali Məhkəməsinə sədr təyin edildi - SƏRƏNCAM




















.jpg)





.jpg)

