Azərbaycanın mebel şirkətinin satışı kəskin artıb, 102 milyon manatdan çox gəlir əldə edib
1996-cı ildə əsası qoyulmuş və mebellərin istehsalı ilə məşğul olan "Embawood" şirkəti 2024-cü ili 2 milyon 281 min manat xalis mənfəət ilə başa vurub. Halbuki, Şirkət 2023-cü ili 434 min manat xalis mənfəət ilə bağlamışdı. Beləliklə, "Embawood" şirkətinin xalis mənfəəti 2024-cü ildə 2023-cü illə müqayisədə 1 milyon 847 min manat və ya 5,2 dəfə artıb.
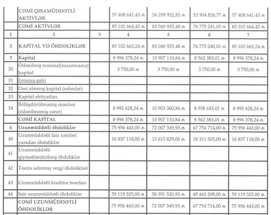
Marja.az xəbər verir ki, "Embawood" şirkətinin satışdan gəlirləri 2023-cü ildə 59 milyon 726 min manat ikən, 2024-cü ildə 102 milyon 430 min manata yüksəlib (42 milyon 704 min manat və ya 71,5% artıb).
2024-cü ildə "Embawood" şirkətinin cəmi əməliyyat gəlirləri 102 milyon 436 min manat cəmi əməliyyat xərcləri 99 milyon 585 min manat, əməliyyat mənəəti 2 milyon 851 min manat təşkil edib. Şirkət 2024-cü ildə 570 min manat mənfəət vergisi ödəyib.
31 dekabr 2024-cü il tarixində "Embawood" şirkəti 83 milyon 41 min manat cəmi aktivlərə malik olub. Şirkət 2023-cü ilin sonunda 85 milyon 102 min manat cəmi aktivlərə malik idi.
Müştərilərin xəbərləri
“Rabitəbank” maliyyə savadlılığı layihəsi çərçivəsində regionlarda sahibkarlığın inkişafına dəstəyini davam etdirir
SON XƏBƏRLƏR
- 1 ay sonra
- 2 həftə sonra
- 1 gün sonra
-
- 4 saat əvvəl
-
6 saat əvvəl
Sabah gündüz Bakının və Abşeron yarımadasının bəzi yerlərində yağış yağacaq – XƏBƏRDARLIQ
-
6 saat əvvəl
2026-cı ilin birinci rübündə sənaye zonalarında istehsalın həcmi 883 milyon manata çatıb
-
6 saat əvvəl
Sumqayıt Sənaye Parkında yeni şirkət - 16,3 milyon manat olan layihə həyata keçiriləcək
- 7 saat əvvəl
- 8 saat əvvəl
-
8 saat əvvəl
Nazir: İdxal etdiyimiz məhsulların 25 faizini Azərbaycanda tam əvəzləmək potensialı var
-
8 saat əvvəl
Nazir: İlk dəfə olaraq balıqçılıq sahəsinə subsidiyalar və dövlət güzəştləri veriləcək
- 8 saat əvvəl
Son Xəbərlər
Azvak.az-da yeni iş elanları
55 manatdan bank səhmdarı olmaq fürsəti: SON 19 GÜN
Bank sərfəli şərtlərlə əmanət qəbuluna davam edir
Yapon avtomobili Nissan Magnite - CƏMİ 27 900 MANATA
Kənd təsərrüfatı, balıqçılıq və akvakultura məhsullarının istehsalı və emalı sahələrinin inkişafına dair yeni Dövlət Proqramı təsdiq edilib
Nazir: İdxal etdiyimiz məhsulların 25 faizini Azərbaycanda tam əvəzləmək potensialı var
Nazir: İlk dəfə olaraq balıqçılıq sahəsinə subsidiyalar və dövlət güzəştləri veriləcək
Azercell-dən HONOR smartfonlarına xüsusi kampaniya
bp şirkəti Azəri-Çıraq-Dərinsulu Günəşlidə "maksimum neftvermə" üçün yeni texnologiya tətbiq edib
Süni intellekt hakatonunun qalibləri elan edilib
"Ənənəvi suvarma üsullarından imtina edilməsi, damcı və pivot texnologiyalarının tətbiqinin genişləndirilməsi müasir dövrün çağırışlarından biridir"
“Rabitəbank” maliyyə savadlılığı layihəsi çərçivəsində regionlarda sahibkarlığın inkişafına dəstəyini davam etdirir
"Son 5 il ərzində heyvanların sayında azalma müşahidə olunur. Ət istehsalı istehlakını qarşılaya bilmir"







.jpg)





.jpg)






