Depozitlərdə dollarlaşma aşağı düşür
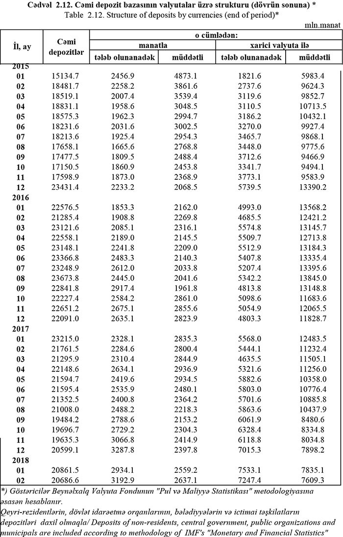
2018-ci ilin Fevral ayının sonuna banklarda cəmi depozitlər 20 milyard 686.6 milyon manat təşkil edib.
"Marja" Mərkəzi Bankın statistikasına istinadən xəbər verir ki, depozitərin 5 milyard 830 milyon manatı və ya 28,2%-i milli valyutada, 14 milyard 856,7 milyon manatı və ya 71,8%-i xarici valyutada olub.
Yanvar ayında bu nisbətlər müvafiq olaraq 26,3% və 73,7% təşkil etmişdi.
Müştərilərin xəbərləri
ABV və Hikvision tərəfdaşlığı ilə LED, rəqəmsal və interaktiv ekran həlləri Azərbaycan bazarında - FOTOLAR
SON XƏBƏRLƏR
- 3 həftə sonra
-
8 saat əvvəl
Aqrar Sığorta Fondunun idarəedici şirkətinin aktivləri azalıb
- 8 saat əvvəl
-
- 8 saat əvvəl
- 8 saat əvvəl
-
8 saat əvvəl
“Xalq Sığorta”nın mənfəəti artıb – şirkət 2025-ci ili 6 milyon manatdan çox qazanc ilə tamamlayıb
- 8 saat əvvəl
- 9 saat əvvəl
- 9 saat əvvəl
- 9 saat əvvəl
- 9 saat əvvəl
-
10 saat əvvəl
Azərbaycan Banklar Assosiasiyasının nümayəndə heyəti Yaponiyada işgüzar səfərdə olub
Son Xəbərlər
AzVak-da elan yerləşdirib, daha tez işçi tapın !
Aqrar Sığorta Fondunun idarəedici şirkətinin aktivləri azalıb
“Meqa Həyat Sığorta”nın xalis mənfəəti 2,5 dəfə artıb
“Atəşgah Həyat Sığorta”nın mənfəəti artıb
“Xalq Sığorta”nın mənfəəti artıb – şirkət 2025-ci ili 6 milyon manatdan çox qazanc ilə tamamlayıb
“A-Qrup Sığorta”nın xalis mənfəət 7 dəfə artıb
"Atəşgah Sığorta" 2025-ci ili xalis mənfəətlə başa vurub
Ən çox oxunanlar
"İpək Yolu Sığorta"nın xalis mənfəəti 44 %-ə yaxın azalıb
"Azərbaycan Sənaye Sığorta" mənfəətdən zərərə keçib
Azərbaycan Banklar Assosiasiyasının nümayəndə heyəti Yaponiyada işgüzar səfərdə olub
Ələtdə data mərkəzin yaradılması müzakirə edilib - “Haimaker”in direktoru ilə görüş keçirilib
ABV və Hikvision tərəfdaşlığı ilə LED, rəqəmsal və interaktiv ekran həlləri Azərbaycan bazarında - FOTOLAR
"Qala Həyat Sığorta"nın xalis mənfəəti 21 faiz artıb
"Meqa Sığorta"nın xalis mənfəəti artıb
SOCAR-ın prezidenti “ITOCHU”nun baş əməliyyat direktoru ilə görüşüb


















