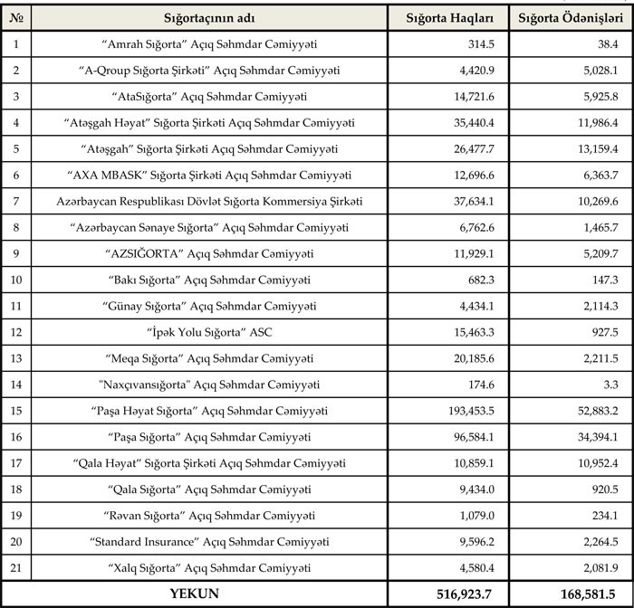
Hansı sığorta şirkəti nə qədər haqq toplayıb? - SİYAHI
2018-ci ilin yanvar-avqust ayları ərzində sığorta şirkətləri tərəfindən hesablanmış sığorta haqları və sığorta ödənişləri
Müştərilərin xəbərləri
SON XƏBƏRLƏR
- 3 həftə sonra
- 12 d. əvvəl
- 47 d. əvvəl
-
-
1 saat əvvəl
KİV: ABŞ və İran 45 günlük atəşkəslə bağlı müzakirələr aparır
- 1 saat əvvəl
-
1 saat əvvəl
İldə cəmi 99 AZN ödəməklə evinizi sığortalayın, dəyən zərəri PAŞA Sığorta qarşılasın
-
1 saat əvvəl
"Agro Dairy" şirkətindən Azərbaycanın aqrar sektorunda bir ilk
- 2 saat əvvəl
- 2 saat əvvəl
-
10 saat əvvəl
Zərəri 150 000 manata qədər qarşılayan sığorta var, qiyməti də 79 manatdan başlayır
-
14 saat əvvəl
"Tehran razılaşmasa, İranda hər şeyi havaya uçurub, nefti ələ keçirməyi düşünürəm"
- 14 saat əvvəl
Son Xəbərlər
AzVak-da elan yerləşdirib, daha tez işçi tapın !
Prezident İlham Əliyev Gürcüstana dövlət səfərindədir
Tramp İrana verdiyi müddəti 8 aprelədək uzatdı
Rəsmi məzənnələr açıqlandı
"Agro Dairy" şirkətindən Azərbaycanın aqrar sektorunda bir ilk
Neft qiymətləri yüksəlişdədir
Zərəri 150 000 manata qədər qarşılayan sığorta var, qiyməti də 79 manatdan başlayır
Ən çox oxunanlar
"BakıKart": Aprelin 6-dan vəsaitlərin silinməsinə başlanılacaq, məhdudiyyətlər aradan qaldırılacaqdır
Azərbaycanda Vakansiyalar - Azvak.az
Tramp: İranın vurduğu təyyarələr danışıqlara təsir etməyəcək
İran ABŞ-ın 48 saatlıq atəşkəs təklifini rədd edib
“Vulkan” ASC-nin rəhbərliyi növbədənkənar formalaşdırılacaq





















