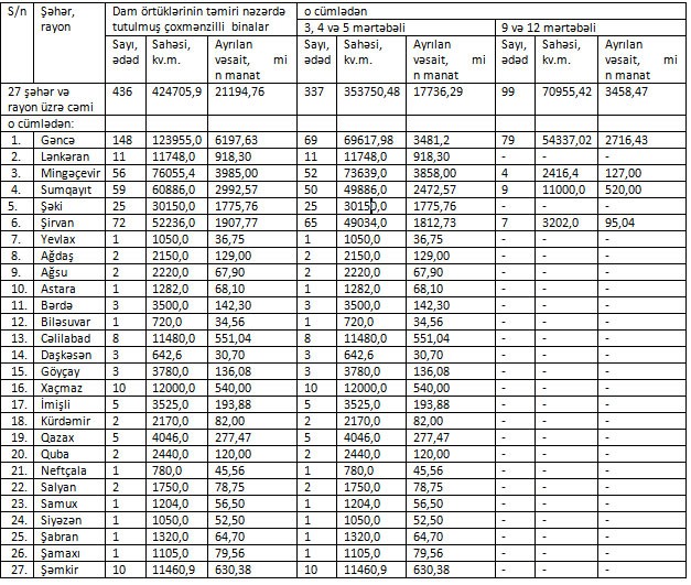
436 binanın dam örtüyü təmir ediləcək - 21 MİLYON MANATLIQ SƏRƏNCAM
Azərbaycan Respublikasının Prezidenti İlham Əliyev, "Azərbaycan Respublikasının şəhər və rayonlarında çoxmənzilli binaların dam örtüklərinin təmiri ilə bağlı əlavə tədbirlər haqqında" Sərəncam imzalayıb.
"Marja" xəbər verir ki, Sərəncama əsasən, Azərbaycanın 27 şəhər və rayonunda 436 çoxmənzilli binanın dam örtüyünün təmiri məqsədi ilə “Azərbaycan Respublikasının 2018-ci il dövlət büdcəsi haqqında” Azərbaycan Respublikası Qanununun tətbiqi ilə bağlı bir sıra məsələlər barədə” Azərbaycan Respublikası Prezidentinin 2017-ci il 25 dekabr tarixli 1756 nömrəli Fərmanının 1.14.3.3.9-cu (islahatlarla bağlı xərclər) yarımbəndində nəzərdə tutulan vəsaitdən 21 194 760 (iyirmi bir milyon bir yüz doxsan dörd min yeddi yüz altmış) manat bu Sərəncama əlavə olunmuş siyahıya uyğun şəhər, rayon icra hakimiyyətlərinə ayrılıb.
Dam örtüklərinin təmiri nəzərdə tutulmuş çoxmənzilli binaların şəhər və rayonlar üzrə bölgüsünə dair siyahı
Müştərilərin xəbərləri
SON XƏBƏRLƏR
- 1 həftə sonra
- 1 həftə sonra
- 1 gün sonra
-
- 21 d. əvvəl
-
33 d. əvvəl
Azərbaycan fındığı xaricə daha baha satılıb, ixracından gəlirlər artıb
-
1 saat əvvəl
Xarici ölkələrə 158 min ton satılıb, 175 milyon dollar gəlir götürülüb
-
1 saat əvvəl
11 ayda Azərbaycana 108 milyon dollara yaxın gəlir gətirən məhsul
-
1 saat əvvəl
Aztəminatlı ailələrə birdəfəlik maddi yardım veriləcək – SƏRƏNCAM
-
1 saat əvvəl
2026-cı il “Şəhərsalma və Memarlıq İli” elan edilib - SƏRƏNCAM
-
2 saat əvvəl
“AzInTelecom” və Azərbaycan Uşaq Fondunun birgə layihəsi – “SİMA missiyası” kitabı işıq üzü gördü
- 2 saat əvvəl
- 3 saat əvvəl
Son Xəbərlər
Biznesiniz üçün QISA NÖMRƏ (Ulduz nömrə) alın
Azərbaycanda Vakansiyalar - Azvak.az
Ödənişsiz investisiya seminarı: Yatırımda təcrübə qazan
Bakı metrosunun reklam gəlirləri açıqlanıb
Aztəminatlı ailələrə birdəfəlik maddi yardım veriləcək – SƏRƏNCAM
2026-cı il “Şəhərsalma və Memarlıq İli” elan edilib - SƏRƏNCAM
“AzInTelecom” və Azərbaycan Uşaq Fondunun birgə layihəsi – “SİMA missiyası” kitabı işıq üzü gördü
Dekabrın 23-də gözlənilən hava şəraiti
Azərbaycan-ABŞ iqtisadi tərəfdaşlığı müzakirə edilib
Bu dövlət şirkətinə 245 milyon manata yaxın faizsiz kredit verilib
Azərbaycandan Rusiyaya və əks istiqamətdə pul köçürmələri azalıb




















.jpg)
