"Avromed" işlənmiş avtomobillərini hərrac yolu ilə satır - QİYMƏTLƏR
"Avromed Company" QSC, balansında olan işlənmiş nəqliyyat vasitələrini hərrac yolu ilə satışa çıxarır.
Hərracda iştirak etmək istəyən hüquqi və fiziki şəxslər satınalma təkliflərini 14.12.2023-cü il saat 18:00-dək qapalı zərflərdə “Avromed Company” QSC-yə təqdim etməlidir.
Təklifdə aşağıdakı məlumatlar qeyd olunmalıdır:
- Fiziki şəxslər üçün: təklifin qiyməti, şəxsiyyət vəsiqəsinin surəti və bank rekvizitləri.
- Hüquqi şəxslər üçün: təklifin qiyməti, şirkətin hüquqi sahibinin şəxsiyyət vəsiqəsinin surəti və bank rekvizitləri.
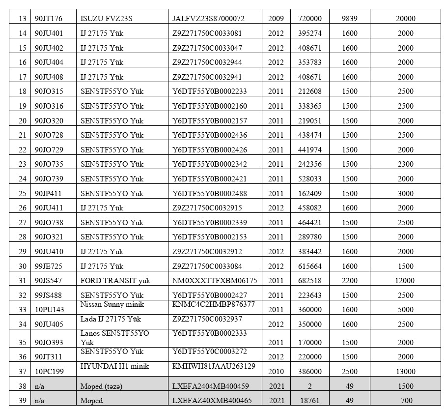
Nəqliyyat vasitələrinin sayı - 39.
Nəqliyyat vasitələri yalnız bir lotda satılacaq, ayrılıqda satışı mümkün deyil.
Əlavə qeydlər:
1. Avtomobillərin Dövlət Yol Polisi idarəsində qeydiyyatı alıcının hesabına aparılacaqdır;
2. ƏDV şirkət tərəfindən ödəniləcəkdir.
Təkliflərin göndəriləcəyi ünvan: “Avromed Company” QSC baş ofis, Neftçilər prospekti 153, Port Baku Cənub Qülləsi, 11-ci mərtəbə, Bakı, AZ1010, Azərbaycan.
Məsul şəxs: Azər Məmmədov, Nəqliyyat Parkının Meneceri (+994 55 215-72-67 / [email protected])
Nəqliyyat vasitələri haqqında ətraflı məlumat və başlanğıc qiyməti aşağıda göstərilib:
Müştərilərin xəbərləri
SON XƏBƏRLƏR
- 1 həftə sonra
- 1 həftə sonra
- 6 gün sonra
-
-
6 d. əvvəl
33 min 615 baş heyvanın alınmasına 89,8 milyon manat məbləğində güzəşt tətbiq edilib
-
29 d. əvvəl
İllik gəlirlilik dərəcəsi 15% olan istiqrazlar ticarətə buraxılacaq - TARİX
- 32 d. əvvəl
-
39 d. əvvəl
"Dino Park": 3 və daha çox uşağı olan ailələr üçün 20% endirim tətbiq olunacaq
-
51 d. əvvəl
Süd məhsullarının istehsalçılarına ubsidiyaların verilməsi planlaşdırılır
-
1 saat əvvəl
Avropa bankı Qafqazın böyük avtomobil distribütor şirkətinə 25 milyon avro kredit ayırır
-
1 saat əvvəl
Trendyol ölkənin ilk inklüziv kafesi “Kashalata”nın inkişafına dəstəyini davam etdirir
-
1 saat əvvəl
Qızılın qiyməti üzrə dünyanın ən yaxşı proqnoz verən qurumları - SİYAHI
-
1 saat əvvəl
Rusiya sülhü qəbul etməzsə…: ABŞ Rusiyaya qarşı yeni sanksiyalar hazırlayır
Son Xəbərlər
Biznesiniz üçün QISA NÖMRƏ (Ulduz nömrə) alın
Azərbaycanda Vakansiyalar - Azvak.az
Ödənişsiz investisiya seminarı: Yatırımda təcrübə qazan
Dolların sabah üçün rəsmi məzənnəsi müəyyən olunub
Avropa bankı Qafqazın böyük avtomobil distribütor şirkətinə 25 milyon avro kredit ayırır
Ən çox oxunanlar
Trendyol ölkənin ilk inklüziv kafesi “Kashalata”nın inkişafına dəstəyini davam etdirir
"Azər-Türk Bank"ın kredit reytinqləri təsdiqlənib - BANK YENİ STRATEGİYA HAZIRLAYIR
Bakı limanında “mafiya filmi” ssenarisi
OpenAI Amazon ilə 10 milyard dollar investisiya və süni intellekt çiplərindən istifadə barədə danışıqlara başlayıb










.webp)















